• 三级甲等综合医院

  • 昭通市临床检验中心

  • 健康体检中心

全站搜索

医院院训: 团结诚信、崇德博爱、创新奉献!

医院理念 : 医院愿景 :立足滇东北,面向川滇黔,开放式、花园式现代化中心医院         医院文化 :绵延百年医风,关爱生命无限         服务理念:聚人气、贵人命、弘人道、重人本

您所在的位置:首页新闻动态医院动态

医院动态

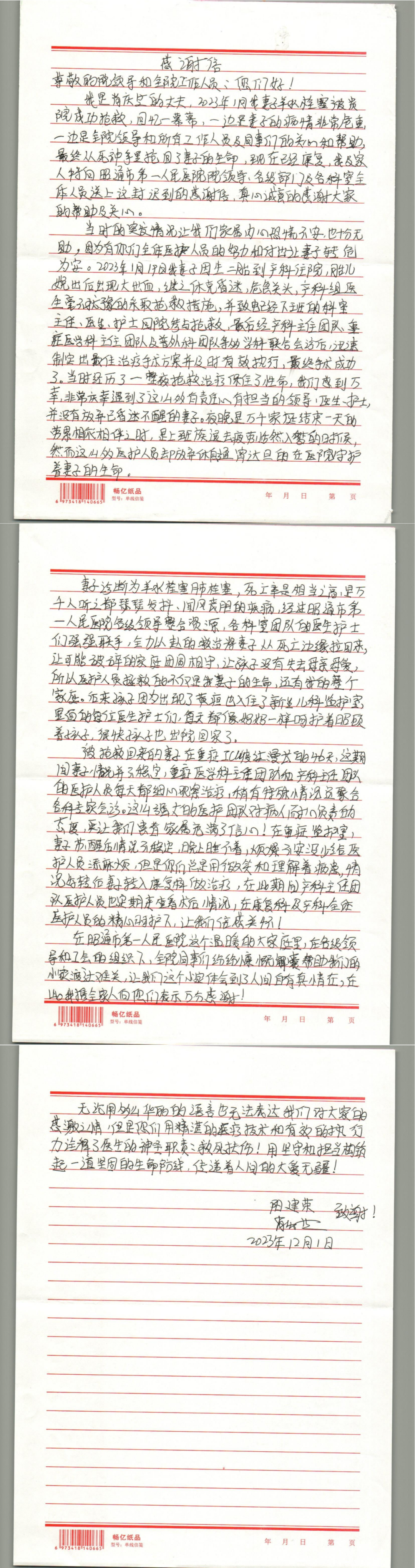
一封感谢信 点赞“娘家人”

信息来源:昭通市第一人民医院发布时间:2023-12-18阅读数:9327作者:昭通市第一人民医院

“在我最困难的时刻,是你们的慷慨相助让我重新获得了生命的力量。”

“我深知,没有院领导和同事们的帮助,我无法度过这个难关。我将永远记住这份恩情。”



以上的话语来自一封感谢信中的内容。
当时面对肆虐的病魔,得到全院上下慷慨相助,不仅帮助她度过了难关,更让她感受到了单位大家庭的温暖和关爱。肖庆芝现已痊愈,并携家人来到院工会办公室,送来了由儿子制作信封、丈夫手写的感谢信,表达她对大家的感激之情。


信中言辞恳切、情意深长,有感激,也有祝愿,情之所至,莫不让人动容。昭医这无形的纽带,连接了你我的心,握住了你我的手,不放弃患者!也不放弃我们任何一位战友!


寻常日月杏林梦,更靠齐心相携圆。医院工会始终站在离职工最近的地方,让阳光刺透阴霾,在你身子后跌时,做你坚实的后盾,为你撑腰的“娘家人”。
冬已至,春不晚。我们挽手共赴下一个温暖的季节。

(供稿:工会  李竹)


分享到: